简介
棉花在日常生活中应用广泛。然而,其易燃性限制了其在某些领域的应用。在这项研究中,成功合成了一种源自双三嗪环磷酸铵的新型无甲醛反应型阻燃剂ASBSMP。ASBSMP/棉表现出优异的阻燃性能,具有自熄特性,极限氧指数 (LOI) 为 41.8%。即使经过 50 次洗涤循环后,LOI 仍保持在 30.3% 的高水平,表明具有出色的耐久性。热重分析(TGA)显示其卓越的热稳定性。锥形量热仪测试进一步证实了处理后的棉具有优异的阻燃性,与纯棉相比,总放热量(THR)降低了44.6%,峰值放热量(PHRR)降低了90.1%。傅里叶变换红外光谱 (FTIR)、X 射线光电子能谱 (XPS) 和残炭分析结果表明,ASBSMP 在气相和凝聚相中均表现出阻燃活性。ASBSMP/棉在广泛的应用中表现出出色的机械完整性。
工业和科学技术的快速进步导致高性能纺织品的广泛开发和利用,已成为日常生活和工业生产中不可或缺的一部分。在这些纺织品中,主要由纤维素组成的棉纤维因其柔软性、透气性和舒适性而受到特别重视。然而,其约 18.2% 的低烧失量使其高度易燃 。这种固有的可燃性不仅限制了它们在许多领域的应用,而且还对生命和财产造成严重风险。棉花的大表面积和易燃性进一步加剧了火灾危险。一旦被点燃,棉织物会迅速燃烧,可能造成重大财产损失和人员伤亡。在燃烧过程中,棉花的降解会释放出挥发性易燃物质,与氧气发生反应,维持燃烧过程并导致进一步恶化。这种点火和持续燃烧的循环导致了许多火灾的严重性。统计数据显示,大约 20% 的火灾是由纺织品引起的,超过 50% 的火灾死亡事故归因于与纺织品相关的事件。这些令人震惊的统计数据强调了对棉纺织品进行阻燃处理以降低火灾风险并提高安全性的必要性。
材料
三聚氰尿酰氯、次磷酸、硼酸、尿素、双氰胺、二乙醇胺、多聚甲醛、四氢呋喃、乙醇胺、棉织物

制备
1、ASBSMP的合成
首先,将6.2g硼酸溶解在去离子水中。单独地,将21g二乙醇胺溶解在去离子水中。使用恒压漏斗,将二乙醇胺溶液缓慢添加到硼酸溶液中。然后使混合物在140℃反应30小时。纯化后得到二乙醇胺硼酸盐。将24.4g乙醇胺、24g多聚甲醛和48g尿素溶解于适量的去离子水中并放入烧瓶中。接下来,使用恒压漏斗在1小时内将溶解在去离子水中的65.6g次磷酸添加到烧瓶中。然后将混合物在100℃反应4小时。此步骤后,将溶解在四氢呋喃中的 36.9 克氰尿酰氯与 18 克尿素一起通过恒压漏斗在 45 分钟内引入烧瓶中。70℃继续反应8h,得到反应物α。最后,将20.7g溶解在去离子水中的二乙醇胺硼酸盐通过恒压漏斗逐渐加入到烧瓶中。

2、 ASBSMP/棉花的制备
通过首先创建浴比为1:10的ASBSMP溶液来制备处理溶液。然后,添加5重量%双氰胺,并使用氨将pH调节至6-7。随后,将纯棉织物浸入溶液中,在70℃下浸泡30分钟,并定期搅拌,以确保饱和均匀。初次浸泡后,对织物进行两次浸渍、两次轧制,保持轧制残留率约100%。随后,将织物在75℃下预烘10分钟,最后在160℃下定型3分钟,以获得ASBSMP/棉。

主要研究结论

图1、ASBSMP、纯棉和 ASBSMP/棉花的 FTIR 光谱 (a);ASBSMP/棉花样品 (bf) 的 XPS 分析

图2、纯棉(a1、a2)、ASBSMP/棉花(c1、c2)、纯棉残碳(b)和ASBSMP/棉花残碳(d)的SEM数码照片。纯棉(e)、ASBSMP/棉花(g)、纯棉残碳(f)和ASBSMP/棉花残碳(h)的EDS分析

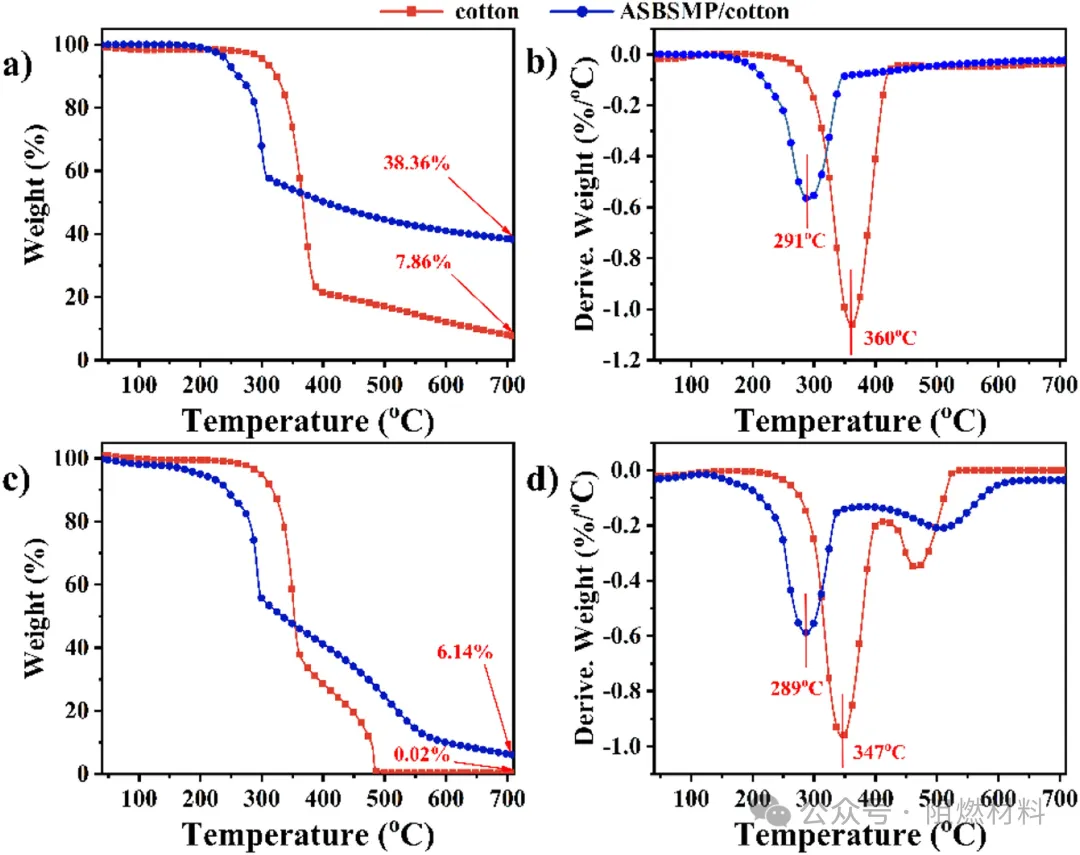
图3、纯棉和ASBSMP/棉花在N 2 (a,b)和空气(c,d)气氛中的TG和DTG曲线

图4、纯棉和ASBSMP/棉的VFT图像(a)和LOI值(b);洗涤过的 300 g/L ASBSMP/棉花的 LOI 值 (c)

图5、ASBSMP/棉花的THR (a)、HRR (b)、TSP (c)、SPR (d)、CO 2 P (e)、COP (f)数据;ASBSMP/棉花的残留碳(f)的数码照片

图6、 ASBSMP/棉花残碳的 FTIR 光谱(a);ASBSMP/棉花残碳样品的 XPS 分析 (bf);ASBSMP/棉花残留碳的 SEM 图像 (g)

图7、阻燃机制的示意图
结论
以次磷酸、三聚氯氰、硼酸二乙醇胺为原料合成了一种新型反应型阻燃剂ASBSMP。ASBSMP 通过简化的轧染干固化工艺应用于纯棉织物,创造出阻燃 ASBSMP/棉。通过 POC 连接的共价键将阻燃剂固定在织物上,从而增强阻燃性、火焰自熄性和高 LOI。即使经过 50 次水洗循环后,LOI 仅下降 27.5%,表明具有出色的耐用性。SEM 和 EDS 分析证实 ASBSMP 均匀封装在织物表面。FTIR 和 XPS 测试验证了 ASBSMP 的成功合成及其与织物的共价键合。TG-FTIR、EDS、SEM 和 XPS 分析提供了对燃烧过程和阻燃机制的深入了解。锥形量热法显示 PHRR 和 THR 显着降低,有效抑制 TSP。尽管纬向强度略有下降(300 g/L 时下降 16.9%),但经向拉伸强度略有增加,保持了机械性能。残余碳表现出高致密化。然而,ASBSMP/棉表现出明显的局限性:白度下降,特别是影响浅色织物,并且柔软度下降,影响质地。ASBSMP/棉集高效阻燃、抑烟和耐用性于一身,展现出了良好的前景。通过相关阻燃元件的调整来解决其缺点,可以实现性能方面的平衡。这项研究强调了棉织物在抑烟方面的潜力,并提出了探索具有增强阻燃和抑烟性能的多功能棉的途径。

