简介
环氧树脂(EP)优异的阻燃性和增强的导热性的结合对于实际应用来说是非常理想的。在此,通过三聚氰胺二苯基次膦酸酯(MDP)和二维碳化钛(MXene)之间的界面工程制备了新型有机磷修饰的MXene杂化阻燃剂(PMXene)。添加 6.0 wt% PMXene 后,EP/6.0PMXene 材料在 UL 94 测试中除了高限氧指数 (35.2 %) 外,还获得了 V-0 等级。锥体量热结果表明,与原始EP相比,EP/6.0PMXene的放热峰值、发烟速率峰值和发烟因子值分别降低了36.6%、27.6%和48.7%。此外,PMXene杂化材料将EP的导热系数提高到0.38 W/m·K,比原始EP提高了52.6%。因此,这项工作为制造具有高防火安全性和增强导热性的热固性材料提供了一种新策略。
环氧树脂(EP)以其优异的粘接能力、突出的机械性能、卓越的电绝缘性等在航空航天、交通运输、电子电器等领域引起了广泛的关注。然而,EP 在电子封装领域的实际应用由于其低热导率值 (∼0.17–0.25 W/m·K) 而受到阻碍。此外,长期积累的大量热量极有可能引起聚合物的燃烧,EP在燃烧过程中随热释放出大量有毒烟雾,对人们的生命和财产造成最致命的威胁。因此,开发兼具高防火安全性和优异导热性能的功能性EP复合材料刻不容缓,这对于拓宽EP在电子封装领域的工业应用具有重要意义。
材料
碳化钛铝(Ti3AlC2 , MAX)粉末,通过蚀刻和剥离MAX来制备MXene纳米片、乙醇(AR,99.7 %)、二甲亚砜(DMSO,AR,98 %)、氟化锂(LiF,99 %)、盐酸(AR,36.5 %)、双酚A二缩水甘油醚(DGEBA,E44)、 4,4'-二氨基二苯甲烷(DDM)、二苯基次膦酸(DPPA,98%)、三聚氰胺(MA,98%)。
制备
1、MDP的制备
将 10.4 g DPPA 分散在水中,在 100 ℃ 下搅拌 1 h。之后,将6.3g MA加入到溶液中并反应6小时。此后,将混合物冷却至室温并过滤。最后在真空烘箱中80 ℃干燥12 h,得到白色产品三聚氰胺二苯基次膦酸酯(MDP)。

2、 PMXene的制备
首先,将 10 g MXene 分散体(25 mg/g)倒入冰浴中,超声搅拌 30 分钟。然后,将1.25 g MDP分散在DMSO中,持续搅拌0.5 h,形成MDP悬浮液。然后,将MDP悬浮液缓慢添加到MXene悬浮液中,在氮气气氛下持续搅拌4小时。最后,通过过滤和真空干燥收集基于 MXene 的 (PMXene) 杂化物。
3、EP纳米复合材料的制备
采用溶剂辅助法制备了EP纳米复合材料。首先将一定量的阻燃剂、E44和丙酮加入烧瓶中,然后放入冰浴中超声搅拌2 h,得到均匀的悬浮液。之后,将悬浮液在80℃下加热并搅拌4小时以除去丙酮。随后,将液体环氧混合物倒入熔化的DDM中并搅拌3分钟。最后将上述混合物转移到预热好的模具中,分别在100℃固化1h、160℃固化2h、180℃固化2h。
主要研究结论

图1、(a) XRD图谱; (b) FTIR 光谱; (ce) XPS 测量光谱和 (f) 阻燃剂在氮气气氛下的 TGA 曲线

图2、(a) MAX、(b)MXene 和 (c) PMXene 的 SEM 图像; (d) PMXene 杂化物的 EDS 绘图; (e) MXene 和 (f) PMXene 的 AFM 图像; (g) MXene 和 (h) PMXene 的 TEM 图像; (i) PMXene 杂化物的 EDS 图

图3、(a) EP、(b)EP/3.0MDP、(c)EP/3.0MXene、(d)EP/MDP/MXene、(e) EP/3.0PMXene 和 (f) EP 的冷冻断裂表面 SEM 图像/6.0PMXene

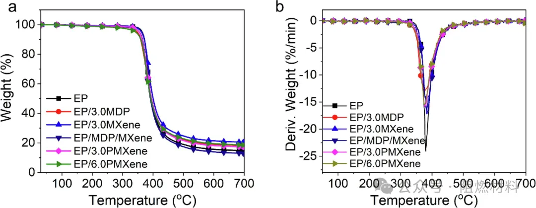
图4、EP及其纳米复合材料在氮气气氛下的(a) TG和(b) DTG曲线

图5、(a) EP 和纳米复合材料的 UL 94 和 LOI 结果,以及 (b) 垂直燃烧测试期间 EP 和 EP/6.0PMXene 的数码照片

图6、 EP及其纳米复合材料的(a)HRR、(b)THR、(c)SPR、(d)TSP、(e)COPR曲线和(f)SF值

图7、阻燃机制的示意图
结论
电子设备的热管理非常需要具有出色阻燃性和出色导热性的聚合物基复合材料。在此,通过三聚氰胺二苯基次膦酸酯(MDP)和MXene之间的氢键相互作用,首次合成了一种名为PMXene的新型2D-0D多维纳米杂化物。然后将 PMXene 纳米杂化物引入 EP 中以制备 EP/PMXene 阻燃材料。表面形态分析表明,MDP 颗粒固定在 MXene 纳米片的表面。 SEM 结果表明,PMXene 杂化材料与 EP 基体表现出优异的分散性和界面相容性。含有 6.0 wt% PMXene 纳米杂化物的纳米复合材料成功通过了 UL 94V-0 评级,具有优异的极限氧指数 (35.2%)。由于MXene的阻挡作用和MDP的猝灭作用,有效降低了EP/6.0PMXene的PHRR、TSP和SF。此外,EP/6.0PMXene纳米复合材料的导热系数提高至0.38 W/m·K。综上所述,利用界面工程来制造基于 MXene 的杂化材料,最终同时增强了 EP 的阻燃性和导热性。

